п. 1. Введение
Под бетонной смесью понимают строительный материал, который составлен по строго выверенной технологической рецептуре и тщательно перемешан до начала процессов схватывания и затвердевания.
Состав в общем виде: органический либо минеральный вяжущий компонент, мелкий либо крупный заполнитель, вода. В ряде случаев добавляются специализированные добавки для получения требуемых свойств.
Значение этого материала в строительстве сложно переоценить:
- Позволяет формовать прочные изделия и монолитные конструкции практически любых форм благодаря пластичности;
- Получать за счет изменения классической рецептуры, добавления пластификаторов, противоморозных и иных добавок смеси с заданными свойствами. Регулировке поддаются такие важные технологические параметры, как: теплопроводность, плотность, морозоустойчивость и прочность при нагрузках во время растяжения и сжатия;
- Востребованный в строительстве из-за долговечности, устойчивости к влаге, не горит, долгий срок полезной эксплуатации материал.
п. 2. Основные компоненты бетонной смеси
Важно: цемент обязательно должен быть свежим. Дата на упаковке подскажет, насколько. Также наощупь он всегда мягкий и совсем не в состоянии держать форму.
Базовые элементы технологического рецепта:
- Цемент. Связующий компонент, без которого сделать бетонную смесь невозможно. На рынке производители предлагают продукцию разной фасовки и с разными марками. Даже называются по-разному и обладают неодинаковыми свойствами: портландцемент, шлакопортланд, всевозможные сухие смеси для приготовления бетона из цемента и добавок быстро затвердевающего типа и многое другое;
- Маркировка должна строго соответствовать требованиям по предельно допустимым нагрузкам в зависимости от назначения будущей постройки. Для промышленных объектов рекомендуемая марка М-400;
- Вода. Она должна быть максимально чистой. Важно следить, чтобы в её составе не оказалось компонентов, которые негативно скажутся на качестве и характеристиках готовой бетонной смеси. В этом плане вода из городского водопровода будет прекрасным выбором. Объем выбирается в зависимости от марки и иных характеристик цемента;
- Песок. Он не должен содержать ила, глины, остатков растений, посторонних примесей. Можно брать карьерный и речной песок с фракцией 1,5–5 мм;
- Щебень. Его изготавливают методом дробления из гранита, известняка и гравия. Прочностные характеристики щебня должны соответствовать строго технологическому правилу: двойная прочность по сравнению с бетоном;
- Добавки весьма разнообразны по придаваемым бетону свойствам: пластификаторы, отвердители, морозоустойчивые и т.п. варианты дополнительных свойств готовой смеси.
п. 3. Роль компонентов во влиянии на качество бетонной смеси
Каждый ингредиент важен. Только тут крайне важно соблюдать пропорции. Общие свойства смеси получаются именно при их правильном смешивании. В смесь входят:
- Цемент. Связующее вещество в составе бетона. Он взаимодействует с водой с образованием прочных связей со всеми компонентами. От качества и типа цемента в значительной степени зависят устойчивость, долговечность и прочность, да и другие свойства данного строительного материала;
- Вода. Обеспечивает условия для гидратации цемента во время твердения. Именно этот компонент отвечает за пластичность, прочность и иные свойства. Отклонение в любую сторону приведет к значительному снижению качества смеси;
- Заполнители. Помогают улучшить физические и химические качества смеси. Они добавляют объема, заполняют пространство между зернами цемента, повышают адгезию, увеличивают прочность;
- Добавки. Включают противоморозные присадки и пластификаторы, замедлители скорости твердения. Свойства бетона настраиваются строго под нужды проекта.
Также крайне важен грамотный расчет и подготовка бетонной смеси по всем правилам.
п. 5. Факторы, влияющие на качество бетонной смеси
Соотношение компонентов
Важно все, даже пропорции компонентов в составе бетонной смеси:
Жидкий бетон:
- Цемент – 1 часть;
- Щебень – 4 части;
- Песок – 2 части;
- Вода – 1/2 части.
Универсальной рецептуры до настоящего времени не разработали. Пропорции прямо зависят от марки цемента, степени влажности песка и целей, для которых нужно приготовление свежей бетонной смеси.
В общем виде выглядит так:
Марка бетона М-400 и М-300 с цементом марки М-400.
Смесь бетона марки М-200:
- Цемент М-400 – 1 ведро;
- Песок – 2,5 ведра;
- Щебень – 4 ведра;
- Вода – немного больше ½ ведра.
Качество компонентов
Этот показатель оказывает сильное влияние на готовую бетонную смесь и результат от её применения.
Основные компоненты:
- Наполнители: керамзит, песок, галька, щебень, пенопластовая крошка;
- Вяжущий компонент (марка цемента);
- Добавки: полимеры, пластификаторы, присадки и т.п. вещества.
Точные значения качественных показателей можно получить только по результатам исследования в лаборатории. Также их можно увидеть в паспорте качества на бетонную смесь. Этот документ обязан выдать изготовитель бетона.
Влияние добавок
Добавки и присадки оказывают значительное влияние на качество и дополнительные свойства бетона. Рассмотрим, какие они бывают и какое действие оказывают:
- Пластификаторы. Помогают стать бетонному раствору более подвижным и пластичным. Работать с такой смесью удобнее. Приобретаются дополнительные технологические свойства. Не дают образовываться пустотам, повышают степень адгезии, уменьшают размеры пор в готовой бетонной конструкции;
- Присадки со стабилизирующими свойствами. Происходит заметное снижение такого неприятного параметра бетонной смеси, как жесткость. Степень укладываемости улучшается. В итоге получают те самые самоуплотняющиеся бетонные смеси;
- Газообразующие и вовлекающие воздух примеси. Формируют множество пузырьков воздуха в теле цементной конструкции. Это повышает показатель морозостойкости;
- Добавки гидрофобизирующие. Повышают способность железобетонных изделий эффективно отталкивать воду. Значительно увеличивают срок полезной эксплуатации и прочность.
Перед смешиванием бетонной смеси крайне важно ознакомиться с рекомендациями к данным компонентам в плане технологии и получаемых свойств. Малейшее отклонение от рецептуры чаще всего приводит весь замес в негодность.
Влияние температуры и влажности на качество смеси из бетона
Воздействие ощутимо:
- При температуре в границах диапазона 0 до 100°C набор скорости бетонной смеси происходит быстрее. На каждые 10°C показатель увеличивается от 2 до 4 раз. При 60°C набор расчетного уровня прочности занимает вместо 28 сут. всего 8–12 ч;
- Низкая температура вызывает обратный эффект. При отрицательной температуре бетонная смесь почти перестает затвердевать;
- 0–160°C приводят к изменению динамической вязкости воды в бетоне. Наблюдается увеличение в 2 раза;
- Идеальный показатель влажности около 100%. Если значение ниже 40%, то нужно срочно принимать меры. При пересыхании процесс твердения прекращается.
Оптимальной для твердения бетона специалисты называют температуру воздуха в диапазоне 18–22°C.
п. 6. Расчет объема бетонной смеси
Расчёт бетонной смеси можно сделать по формулам или использовать специализированные калькуляторы онлайн.
Если делать вручную, понадобятся формулы. Также итоговый вариант оправданно увеличить на 10-20% на непредвиденные расходы или усадку. Также следует учесть тип конструкции, которую требуется возвести.
Основными в строительной сфере являются 2 геометрические формы: куб и цилиндр.
Объем куба: V = L × D × H (длина, ширина и высота попросту перемножаются).
Объем цилиндра: V = 3.14 × D² × L (нужна длина или высота будущей конструкции и диаметр).
Обычно этих 2 формул вполне достаточно, если не идет работа над проектами сложных пространственных конфигураций.
Пример расчета для плитного фундамента:
Если предполагается сделать фундамент плитного типа с ребрами жесткости для дома, размеры которого составляют 6×8 м, поступают так. Учитывают дополнительные исходные данные:
- Толщина плиты монолитного типа: 20 см;
- Ребра жесткости поперечные и продольные с расстоянием 2 м между соседними.
Объем требуемой бетонной смеси: V = L × D × H = 6 × 8 × 0,2 = 9,6 м³.
Для ребер жесткости:
- Объем ребра жесткости по высоте такие же. Рекомендуют 0,8-1 от значения высоты.
- Продольное ребро в длину 8 м.
- Количество 4: 2 внутренних и 2 по краям плиты.
- Объем ребра V = 8 × 0,2 × 0,2 = 0,32 м³. Объем продольных ребер 0,32 × 4 = 1,28 м³.
- Поперечное ребро: длина 6 м. Количество ребер - 5 (3 по краям, 2 внутренних через каждые 2 м).
- Объем ребра V = 6 × 0,2 × 0,2 = 0,24 м³. Объем поперечных ребер 0,24 × 5 = 1,2 м³.
Общий объем бетона: 9,6 + 1,28 + 1,2 = 12,08 м³.
Также с учетом нюансов конкретного строительного объекта применяют поправочные коэффициенты. Их можно найти в специализированных строительных справочниках.
п. 7. Расчет бетонной смеси
Описание основных принципов расчета
Основные принципы расчета состава бетона:
- определение требований к смеси в зависимости от типа, особенностей эксплуатации и способа производства ЖБИ;
- подбор компонентов с поправкой на качественные характеристики каждого;
- предварительный расчет состава бетонной смеси для определения соотношения воды и цемента, объемов заполнителя крупной фракции и песка;
- Лабораторные испытания пробных замесов в лаборатории с корректировкой технологической рецептуры;
- Контроль процесса проведения бетонирования для возможности по необходимости внесения изменений в состав прямо на рабочей площадке.
Состав смеси определяют в виде объемного или весового соотношения между компонентами: цемент (принимается за 1), гравий или щебень, песок.
Экспериментальный бетон должен пройти через лабораторный замес испытания. Только в случае успешного прохождения проверки бетон можно поставлять на строительную площадку или в производственный цех.
Расчет количества компонентов для заданного объема бетонной смеси
Данные для расчета состава бетона:
Проектные данные: Rб = 390 кг/см², ОК = 2 см.
Исходные данные по материалам:
- Цемент Rц 500 Д15, ρц = 3,12 т/м³, ρнц = 1,3 т/м³;
- Щебень Дmax = 20, ρщ = 2,72 т/м³, ρнщ = 1,36 т/м³;
- Песок Мкр = 2,4, ρn = 2,66 т/м³, ρнn = 1,52 т/м³.
Расчет расхода материалов на 1м³ бетонной смеси
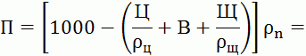
Для определения, гарантирующего получение бетона необходимой прочности, используем формулу (4):
Расход воды (л), которая обеспечивает удобоукладываемость, определяем с помощью графиков (рис. 3) с корректировкой на использование щебня фракции 5-20:
В = 170 + 10 = 180 л/м³
Расход цемента рассчитываем по формуле (7):
Для определения расхода щебня воспользуемся формулой (13):
В формуле имеются показатели, требующие предварительного определения:
- n – пустотность щебня;
- α – коэффициент раздвижки.
284 л/м³
тогда
1124 кг/м³
Количество песка определяется по формуле (14):
= 806 кг/м³
Ориентировочно проверим правильность расчетов из условий примерного веса 1 м³ бетонной смеси – 2400 кг:
324 + 180 + 1124 + 806 = 2434 кг.
п. 9. Подготовка бетонной смеси
Подготовка компонентов: сортировка, очистка, дозирование
Обращаем внимание, что работать лучше всего в защитной спецодежде и респираторе. Требуется строго соблюдать все требования по технике безопасности с целью избежать опасности получить травму, нанести вред здоровью своему и окружающих.
Подготовительная обработка в отношении компонентов для будущей бетонной смеси включает ряд технологических этапов:
- Просеивание. Необходимо удалить любые посторонние включения. Также фракции, которые не соответствуют заданным размерам. Широко применяют сеялки и вибросита;
- Удаление воды из компонентов будущей смеси (обезвоживание). Такие материалы будет проще дозировать и смешивать. Зимой минимизируется опасность замерзания;
- Точное дозирование. Цемент и наполнители плотного типа дозируют в соответствии с весом, жидкие – по объему.
Дозирование цемента, химических добавок и воды нужно производить оптимально четко, грамотно и ответственно. Отклонение не должно превышать предельных 2%. Для крупных и мелких разновидностей заполнителя показатель составляет 2,5% от проектного показателя состава.
Смешивание компонентов: порядок смешивания, время смешивания
Лучше всего делать эту процедуру в бетономешалке. Порядок работы выглядит так:
- В 1 закладку в емкость загружается ½ компонентов для бетона сухого типа. Затем качественно перемешивается;
- Добавляется ½ объема воды. Снова перемешивается;
- Потом небольшими порциями следует вводить попеременно песок и щебень, постоянно смешивая.
Время не должно превышать 1-2 мин. Иначе бетонная смесь может потерять свои уникальные свойства.
Готовность материала проверить несложно. Берут корыто и вываливают из барабана немного строительного материала. На ней посредством тыльной стороны лопаты надо сделать несколько «канавок». Если они сохраняют форму, поверхность гладкая, смесь готова.
При работе обязательно соблюдать все правила по технике безопасности, надевайте очки и защитные перчатки для строительных работ.
Контроль качества бетонной смеси
- Оценка качества исходных компонентов. Соответствие уровню влажности, гранулометрическому составу, марке цемента и т.п.
- Испытание образцов на водонепроницаемость, прочность, способность противостоять низким температурам и т.п. с помощью приборов и специализированных видов оборудования.
- Визуальный осмотр готовых конструкций.
- Контроль точности соблюдения технологии производственных работ. Правильность укладки.
- Проверка по звуку удара. Марка бетона должна быть от М-100. Звук не должен быть глухим.
- Обязательная проверка в лаборатории образцов до отправки на строительную площадку.
п. 10. Практические советы
Как выбрать правильные пропорции для конкретной работы

Как подготовить бетонную смесь без специального оборудования
Вручную с помощью лопаты. Берем корыто, уже неиспользуемую ванну. Засыпаем в расчетных объемах песок, сверху добавляем сухой цемент.
С помощью лопаты следует смешивать до полной однородности.
Нужный объем воды отмеряется, но вводить нужно небольшими порциями при аккуратном размешивании. Доливать воду, не прерывая процесса с распределением по рабочей емкости. Комки недопустимы. Как и неоднородные по цвету и структуре участки.
Теперь надо добавить щебень. Смешивать, пока вся она не будет покрыта раствором.
Если надо пластичнее бетонную смесь, добавляют воду.
Как избежать расслоения бетонной смеси
Строго соблюдать все этапы технологии, использовать свежий цемент и подходящую воду. По возможности сразу же заливать бетон в опалубку или форму для ЖБИ.
Как правильно транспортировать и укладывать бетонную смесь
Перевозить бетон надо подходящими видами транспорта: авто с бункерами и бадьями, автобетоносмесители, автосамосвалы, автобетоновозы.
Дороги и пути для подъезда должны быть укрыты покрытием жесткого типа, не должно быть ухабов, выбоин и иных путевых дефектов.
Минимум перегрузок перед заливкой в форму или опалубку.
Высота свободного падения смеси должна быть менее 1,5 м. Иначе применяют специальные виды лотков для подачи к месту работы.
Для грамотной укладки необходимо учесть ряд моментов:
- Правильно выбрать способ подачи с учетом видов и темпов строительных работ.
- Важно провести грамотное уплотнение заливки. Лучше всего с помощью вибратора.
- Для работы в холодную погоду с морозами нужен подогрев строительной площадки и добавление противоморозных добавок. Арматуру надо нагревать перед отправкой в работу.
п. 11. Заключение
От качества ингредиентов и правильности соблюдения рецептуры и этапов укладки зависит долговечность и надежность конструкций и изделий из бетонной смеси.
Качество бетона перед отправкой в работу обязательно должно пройти испытания в лаборатории.
Всегда строго соблюдайте правила безопасности и тонкости работы с бетонной смесью.